Dispositivos de desmodulación de señales a través de un receptor Wavelet OFDM
Sector Industrial:
- Tecnologías de la Información y Comunicaciones
Investigador/es:
- Fernando Cruz Roldán
Departamento/s:
- Teoría de la Señal y Comunicaciones
RESULTADOS DE LA INVESTIGACIÓN
Resumen:
Un grupo de investigación del Departamento de la Teoría de la Señal y Comunicaciones de la Universidad de Alcalá ha desarrollado dispositivos de desmodulación, y más generalmente de recepción de señales. El procedimiento propuesto implementa un receptor Wavelet OFDM, basado en bancos de filtros modulados según la transformada solapada extendida (Extended Lapped Transform ELT). Esta técnica de modulación ha sido propuesta en transmisión de datos de banda ancha por la red eléctrica (power line communications PLC), y presenta como características: a) una mayor separación espectral entre las subportadoras; b) más inmunidad frente al ruido, incluidas las interferencias de banda estrecha de carácter impulsivo. También se incorpora un bloque de igualación de canal en el dominio de la frecuencia, que incluye en paralelo un banco de filtros con modulación seno. Esta invención se puede utilizar en todas aquellas técnicas que empleen modulación multiportadora basada en modulación Wavelet OFDM en el transmisor.
El grupo busca empresas del sector TIC para alcanzar acuerdos de fabricación, y acuerdos comerciales con asistencia técnica.
Descripción:
Esta invención proporciona dispositivos de desmodulación, y más generalmente de recepción de señales. La invención concierne igualmente al procedimiento de demodulación de señales según se describe a continuación. Por supuesto, la invención también concierne a los dispositivos de recepción de señales llevando a cabo dicho procedimiento.
El procedimiento de la invención es un receptor o banco de análisis que proviene de un esquema de modulación similar al banco de filtros (en configuración transmultiplexador) denominado ELT (Extended Lapped Transform).
El receptor propuesto en la invención (figura 1) comprende un sistema de retardo de la señal de entrada y decimado (downsampling) de las señales retardadas (bloque 21). Tras este bloque, diversas ramas pueden ser sumadas unas con otras, mediante un procedimiento de solapamiento y suma. Así mismo, comprende un procesamiento de las señales resultantes a través de un algoritmo rápido mediante operaciones matriciales (bloques 12, 16, 17, 20, 15), de transformación del tipo transformada discreta del seno y/o coseno (bloques 13, 18), y filtrado polifase (bloque 11), cuyos filtros se pueden implementar con estructuras directas, o transpuestas, o en celosías.
En la invención, dicho esquema de modulación puede incluir los ángulos de fase (phase angle [rad.]- bloque 15), como los detallados en la tabla 14.10-carrier frequencies que está incluída y se puede consultar en el estándar [IEE10]. Además, otra novedad de la invención es que el receptor incluye una etapa adicional obtenida mediante modulación en seno del filtro prototipo, con el objetivo de facilitar el proceso de igualación del canal en el dominio de la frecuencia. El procedimiento propuesto en la invención aprovecha las características que proporcionan los transmultiplexadores basados en bancos de filtros modulados ELT como, por ejemplo, una mayor separación espectral entre las subportadoras, lo que conlleva más inmunidad frente al ruido, incluidas las interferencias de banda estrecha de carácter impulsivo. El banco de filtros de análisis o de recepción se obtiene mediante el esquema de modulación siguiente:

Donde i son factores de fase, que normalmente son nulos, pero que en el caso de la modulación ELT propuesta en [IEE10] para la capa física wavelet-OFDM toma valores de 0 y
14.10 incluída en el estándar [IEE10]). El resto de parámetros y funciones de la anterior expresión han sido definidos previamente.
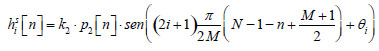
Además, el receptor de la invención contiene también un sistema paralelo (misma señal de entrada, y sumando las salidas), consistente en un banco de filtros con modulación seno, obtenido como :

Donde his [n] son los filtros que conforman el banco adicional de análisis o de recepción (His(z)), y el resto de funciones y parámetros son similares a los definidos anteriormente. La invención muestra un algoritmo rápido de implementación de todo el receptor en su conjunto.
El receptor de la invención también comprende dos etapas de igualación de canal en el dominio de la frecuencia FEQ-1 y FEQ-2 (bloques 14 y 19). En las mismas se procesan las señales subportadoras obtenidas con las transformadas discretas del seno y/o coseno (bloques 18 y 13) empleando un coeficiente constante o una función sistema que filtra cada señal.
[IEE10] IEEE Std 1901TM-2010, “IEEE Standard for Broadband over Power Line Networks: Medium Access Control and Physical Layer Specifications,” Dec. 2010.
Aspectos Innovadores:
- La presente invención aporta un receptor para el transmisor Wavelet OFDM, recomendado en comunicaciones de banda ancha por la red eléctrica.
- Permite separar con mayor eficiencia espectral que OFDM enventanada la información en cada una de las subportadoras.
- Aumenta la robustez del sistema, disminuyendo la probabilidad de error.
- Permite mejorar el régimen binario en entornos hostiles muy ruidosos, lo cual se traduce en la transmisión/recepción de más información en el mismo intervalo temporal.
- Es más inmune a las interferencias de banda estrecha.
Palabras Clave:
- Wavelet-OFDM
- Transmultiplexador
- Banco de filtros modulado
- Banco de filtros cosenomodulado
- Banco de filtros seno-modulado
- Banco de filtros
- Tranceptor multitono
- Tranceptor multiportadora
- Modulador multiportadora
- Modulador demodulador OFDM
- Modulador demodulador DMT
- Tranceptor OFDM
- Tranceptor DMT
- Transmisor receptor OFDM
- Transmisor receptor DMT
- Transformada solapada extendida
- Transformada discreta el coseno
- Transformada discreta del seno
Disciplinas Científicas:
- Tecnologías de la Información y las Telecomunicaciones
Grado Desarrollo del resultado de investigación
- Desarrollada, lista para demostración
Fuente de financiación de la investigación
- Proyecto Nacional
ASPECTOS COMERCIALES
Ventajas competitivas:
Aprovechamiento de las características que proporcionan los transmultiplexadores basados en bancos de filtros modulados ELT, como una mayor separación espectral entre las subportadoras, lo que conlleva más inmunidad frente al ruido, incluidas las interferencias de banda estrecha de carácter impulsivo.
Los procedimientos descritos en esta invención suponen:
- Un incremento de la robustez del sistema.
- Un aumento de fiabilidad, en canales ruidosos.
Estado de la propiedad industrial e intelectual
- Patente solicitada
Comentarios:
Patente solicitada con número de publicación ES2556148
Tipo Colaboración
- Acuerdo comercial con asistencia técnica
- Acuerdo de licencia
- Cooperación técnica
Comentarios:
El grupo busca alcanzar acuerdos comerciales, de cooperación o de licencia con empresas de electrónica, informática y Telecomunicaciones.
La asistencia técnica de acuerdos comerciales se refiere al asesoramiento, a la implantación del producto con empresas y cuestiones derivadas del mismo.
Información Adicional:

Figura 1. Diagrama de bloques general del receptor propuesto en la invención







